
Session 2: Exploratory Factor Analysis (EFA)
Stage 1: Objectives of factor analysis
Stage 2: Designing an Exploratory factor analysis
Stage 3: Assumptions in Exploratory factor analysis
Stage 4: Deriving factors and assessing overall fit
Stage 5: Interpreting the factors

Exploratory or descriptive technique to determine the appropriate number of common factor.
No specifications are made in regards to the number of factors (initially) or the pattern of relationships between factor and indicators
Looking for patterns in the data
Should be conducted prior to the specifications of a structural model.
Researcher specifies the number of factors and the pattern of indicator-factor in advance.
Testing a theory that you know in advance
What types of variables can be used in factor analysis?
How many variables or items should be used per factor?
Some recommendations in literature:
Five cases minimum per estimated parameter (Bentler and Chou, 1987)
Monte carlo studies recommend 100 cases minimum and 200 is better for modest models (Loehlin, 2017)
Larger or complicated models, models with more latent variables or parameter estimates, require more cases.
0 "poor" to 10 "excellent"
Some uderlying structure does exist in the set of selected variables.
correlated variables and subsequent definition of factors do not guarantee relevance
It is the responsibility of the researcher to ensure that observed patterns are conceptually valid and appropriate.
Bartlett Test
Measure of Sampling Adequacy


fa_unrotated <- fa(r = data, nfactors = 4, rotate = "none")
print(fa_unrotated$loadings)
Loadings:
MR1 MR2 MR3 MR4
x6 0.201 -0.408 0.463
x7 0.290 0.656 0.267 0.210
x8 0.278 -0.382 0.744 -0.169
x9 0.862 -0.255 -0.184
x10 0.287 0.456 0.127
x11 0.689 -0.454 -0.141 0.316
x12 0.398 0.807 0.348 0.255
x13 -0.231 0.553 -0.287
x14 0.378 -0.322 0.730 -0.151
x16 0.747 -0.176 -0.181
x18 0.895 -0.304 -0.198
MR1 MR2 MR3 MR4
SS loadings 3.215 2.226 1.500 0.679
Proportion Var 0.292 0.202 0.136 0.062
Cumulative Var 0.292 0.495 0.631 0.693fa_unrotated <- fa(r = data, nfactors = 4,rotate = "none")
print(fa_unrotated$loadings)
Loadings:
MR1 MR2 MR3 MR4
x6 0.201 -0.408 0.463
x7 0.290 0.656 0.267 0.210
x8 0.278 -0.382 0.744 -0.169
x9 0.862 -0.255 -0.184
x10 0.287 0.456 0.127
x11 0.689 -0.454 -0.141 0.316
x12 0.398 0.807 0.348 0.255
x13 -0.231 0.553 -0.287
x14 0.378 -0.322 0.730 -0.151
x16 0.747 -0.176 -0.181
x18 0.895 -0.304 -0.198
MR1 MR2 MR3 MR4
SS loadings 3.215 2.226 1.500 0.679
Proportion Var 0.292 0.202 0.136 0.062
Cumulative Var 0.292 0.495 0.631 0.693\(\le \pm 0.10 \approx\) zero
\(\pm 0.10\) to \(\pm 0.40\) meet the minimal level
\(\ge \pm 0.50\) practically significant
\(\ge \pm 0.70 \approx\) well-defined structure
Eigenvalues - column sum of squared factor loadings.
Relative importance of each factor in accounting for the variance associated with the set of variables.
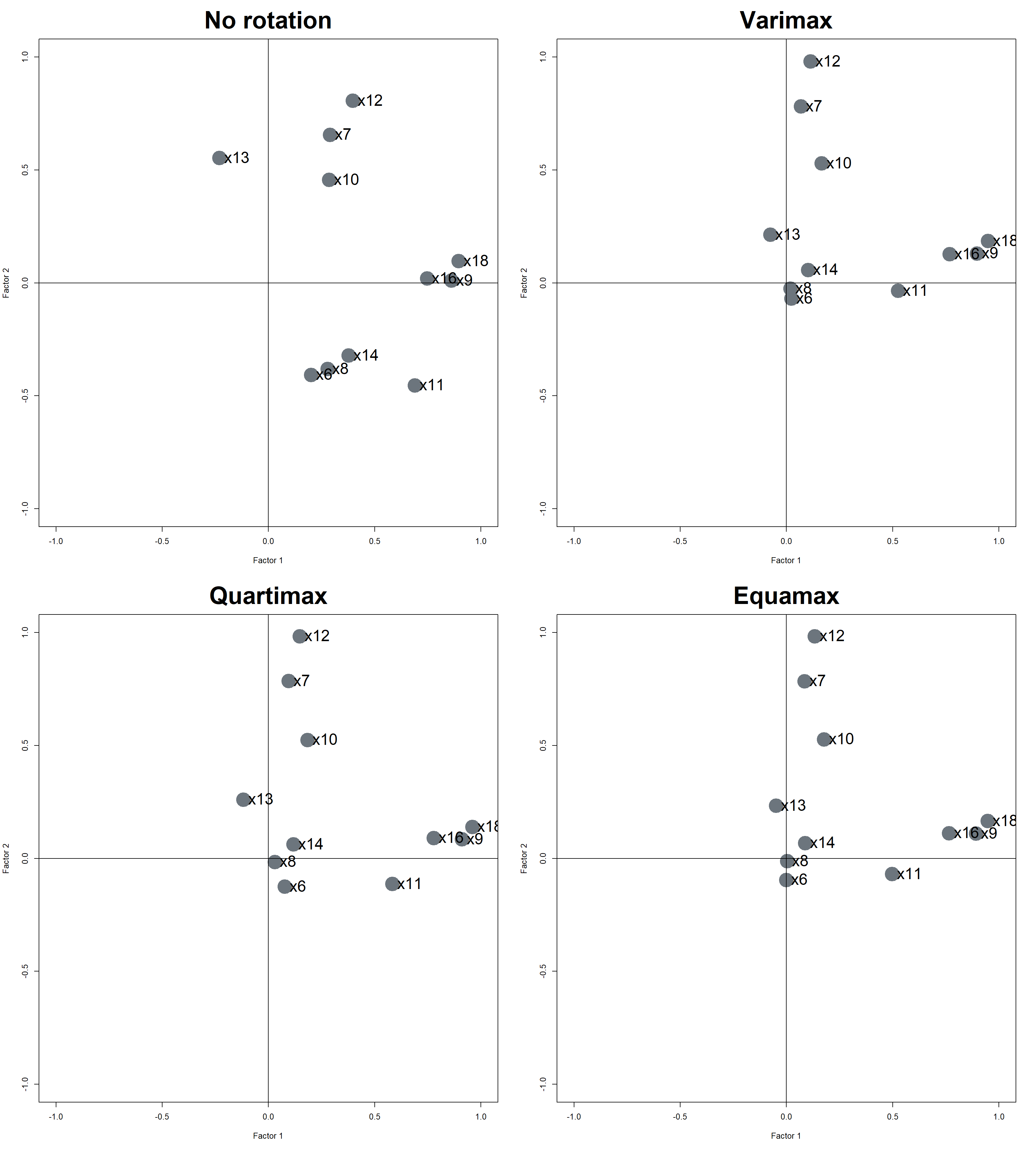
To simplify the complexity of factor loadings.
Distribute the loading more clearly into the factors.
Facilitate interpretation.

fa_rotated <- fa(r = data, nfactors = 4,rotate = "varimax")
par(mfrow = c(2, 1))
plot(fa_unrotated$loadings[,1],
fa_unrotated$loadings[,2],
xlab = "Factor 1",
ylab = "Factor 2",
ylim = c(-1, 1),
xlim = c(-1, 1),
main = "No rotation",
pch = 19,
cex = 2,
col = "#6c757d")
abline(h=0, v=0)
text(fa_unrotated$loadings[,1],
fa_unrotated$loadings[,2],
labels = rownames(fa_unrotated$loadings),
pos = 4, cex = 1)
plot(fa_rotated$loadings[,1],
fa_rotated$loadings[,2],
xlab = "Factor 1",
ylab = "Factor 2",
ylim = c(-1, 1),
xlim = c(-1, 1),
main = "With rotation",
pch = 19,
cex = 2,
col = "#6c757d")
abline(h=0, v=0)
text(fa_rotated$loadings[,1],
fa_rotated$loadings[,2],
labels = rownames(fa_unrotated$loadings),
pos = 4, cex = 1)
axes are maintained at 90 degrees
orthogonal rotation methods
Varimax - most commonly used
Quartimax
Equimax
Check-out some of these references

fa_varimax <- fa(r = data, nfactors = 4,rotate = "varimax")
fa_quartimax <- fa(r = data, nfactors = 4,rotate = "quartimax")
fa_equamax <- fa(r = data, nfactors = 4,rotate = "equamax")
par(mfrow = c(2, 2))
plot(fa_unrotated$loadings[,1],
fa_unrotated$loadings[,2],
xlab = "Factor 1",
ylab = "Factor 2",
ylim = c(-1, 1),
xlim = c(-1, 1),
main = "No rotation",
cex.main = 3,
pch = 19,
cex = 4,
col = "#6c757d")
abline(h=0, v=0)
text(fa_unrotated$loadings[,1],
fa_unrotated$loadings[,2],
labels = rownames(fa_unrotated$loadings),
pos = 4, cex = 2)
plot(fa_varimax$loadings[,1],
fa_varimax$loadings[,2],
xlab = "Factor 1",
ylab = "Factor 2",
ylim = c(-1, 1),
xlim = c(-1, 1),
main = "Varimax",
cex.main = 3,
pch = 19,
cex = 4,
col = "#6c757d")
abline(h=0, v=0)
text(fa_varimax$loadings[,1],
fa_varimax$loadings[,2],
labels = rownames(fa_varimax$loadings),
pos = 4, cex = 2)
plot(fa_quartimax$loadings[,1],
fa_quartimax$loadings[,2],
xlab = "Factor 1",
ylab = "Factor 2",
ylim = c(-1, 1),
xlim = c(-1, 1),
main = "Quartimax",
cex.main = 3,
pch = 19,
cex = 4,
col = "#6c757d")
abline(h=0, v=0)
text(fa_quartimax$loadings[,1],
fa_quartimax$loadings[,2],
labels = rownames(fa_quartimax$loadings),
pos = 4, cex = 2)
plot(fa_equamax$loadings[,1],
fa_equamax$loadings[,2],
xlab = "Factor 1",
ylab = "Factor 2",
ylim = c(-1, 1),
xlim = c(-1, 1),
main = "Equamax",
cex.main = 3,
pch = 19,
cex = 4,
col = "#6c757d")
abline(h=0, v=0)
text(fa_equamax$loadings[,1],
fa_equamax$loadings[,2],
labels = rownames(fa_equamax$loadings),
pos = 4, cex = 2)
allow correlated factors
suited to the goal of theoretically meaningful constructs
oblique rotation methods
Promax
Oblimin

fa_promax <- fa(r = data, nfactors = 4,rotate = "promax")
fa_oblimin <- fa(r = data, nfactors = 4,rotate = "oblimin")
par(mfrow = c(1, 3))
plot(fa_unrotated$loadings[,1],
fa_unrotated$loadings[,2],
xlab = "Factor 1",
ylab = "Factor 2",
ylim = c(-1, 1),
xlim = c(-1, 1),
main = "No rotation",
pch = 19,
col = "#6c757d")
abline(h=0, v=0)
text(fa_unrotated$loadings[,1],
fa_unrotated$loadings[,2],
labels = rownames(fa_unrotated$loadings),
pos = 4, cex = 0.5)
plot(fa_promax$loadings[,1],
fa_promax$loadings[,2],
xlab = "Factor 1",
ylab = "Factor 2",
ylim = c(-1, 1),
xlim = c(-1, 1),
main = "Promax",
pch = 19,
col = "#6c757d")
abline(h=0, v=0)
text(fa_promax$loadings[,1],
fa_promax$loadings[,2],
labels = rownames(fa_promax$loadings),
pos = 4, cex = 0.5)
plot(fa_oblimin$loadings[,1],
fa_oblimin$loadings[,2],
xlab = "Factor 1",
ylab = "Factor 2",
ylim = c(-1, 1),
xlim = c(-1, 1),
main = "Oblimin",
pch = 19,
col = "#6c757d")
abline(h=0, v=0)
text(fa_oblimin$loadings[,1],
fa_oblimin$loadings[,2],
labels = rownames(fa_oblimin$loadings),
pos = 4, cex = 0.5)

each variable has a high loadings on one factor only
each factor has a high loadings for only a subset of the items.
fa_varimax <- fa(r = data, nfactors = 4, rotate = "varimax")
print(fa_varimax$loadings, sort = TRUE)
Loadings:
MR1 MR2 MR3 MR4
x9 0.897 0.130 0.132
x16 0.768 0.127
x18 0.949 0.185
x7 0.781 -0.115
x10 0.166 0.529
x12 0.114 0.980 -0.133
x8 0.890 0.115
x14 0.103 0.879 0.129
x6 0.647
x11 0.525 0.127 0.712
x13 0.213 -0.209 -0.590
MR1 MR2 MR3 MR4
SS loadings 2.635 1.973 1.641 1.371
Proportion Var 0.240 0.179 0.149 0.125
Cumulative Var 0.240 0.419 0.568 0.693each variable has a high loadings on one factor only
each factor has a high loadings for only a subset of the items.
fa_varimax <- fa(r = data, nfactors = 4, rotate = "varimax")
print(fa_varimax$loadings, sort = TRUE, cutoff = 0.4)
Loadings:
MR1 MR2 MR3 MR4
x9 0.897
x16 0.768
x18 0.949
x7 0.781
x10 0.529
x12 0.980
x8 0.890
x14 0.879
x6 0.647
x11 0.525 0.712
x13 -0.590
MR1 MR2 MR3 MR4
SS loadings 2.635 1.973 1.641 1.371
Proportion Var 0.240 0.179 0.149 0.125
Cumulative Var 0.240 0.419 0.568 0.693What to do with cross-loadings?
Ratio of variance (JF Hair et al. 2019)
Example:
MR1: 0.525MR2: 0.712fa_varimax <- fa(r = data, nfactors = 4, rotate = "varimax")
print(fa_varimax$loadings, sort = TRUE, cutoff = 0.4)
Loadings:
MR1 MR2 MR3 MR4
x9 0.897
x16 0.768
x18 0.949
x7 0.781
x10 0.529
x12 0.980
x8 0.890
x14 0.879
x6 0.647
x11 0.525 0.712
x13 -0.590
MR1 MR2 MR3 MR4
SS loadings 2.635 1.973 1.641 1.371
Proportion Var 0.240 0.179 0.149 0.125
Cumulative Var 0.240 0.419 0.568 0.693MR1: Postsale customer service
x9 Complaint resolutions
x16 Order & Billing
x18 Delivery speed
MR2: Marketing
x7 E-Commerce
x10 Advertising
x12 Salesforce image
MR3: Technical support
x8 Technical support
x14 Warranty and claims
MR4: Product value
x6 Product quality
x11 Product line
x13 Competitive pricing
MR1: Postsale customer service
MR2: Marketing
MR3: Technical support
MR4: Product value
fa_varimax$scores %>% round(4) %>% data.frame() %>% tibble()
# A tibble: 100 × 4
MR1 MR2 MR3 MR4
<dbl> <dbl> <dbl> <dbl>
1 -0.139 0.940 -1.72 0.0968
2 1.64 -2.04 -0.591 0.650
3 0.356 0.876 0.016 1.38
4 -1.22 -0.557 1.25 -0.646
5 -0.486 -0.421 -0.031 0.476
6 -0.592 -1.31 -1.20 -0.959
7 -2.54 0.417 -0.569 -1.30
8 -0.115 -0.118 -0.707 -1.36
9 0.952 0.372 -0.139 -0.929
10 0.586 0.408 -0.462 -0.674
# … with 90 more rows
Exploratory factor analysis